
Tech Demos
GuitarBot Jams
GuitarBot is a robotic guitarist at Georgia Tech's Robotic Musicianship laboratory. Upon joining the lab, Ryan Baker was instantly drawn to the project.
However, there was no way to interactively play along with GuitarBot yet. Baker developed a backend that allowed a user to play audio into a DAW, which is then automatically transcribed into chord information for GuitarBot to improvise over. This is part of ongoing research at Georgia Tech.
Outset
Outset is a polyphonic FM synth modeled after the Yamaha DX-7, developed by Ryan Baker and members of the Retrofuturistic Hardware project, lead by Dr. Aaron Lanterman. The project uses JUCE as well as custom C++ DSP.
Baker's contributions range from the filter DSP and GUI implementation to the FM algorithm and polyphony implementation. The FM implementation is flexible to support the many algorithms present in the DX-7. In addition to these contributions, Baker also led the vision for the user interaction. This is a part of an ongoing project at Georgia Tech.
V-Kn Comp
A dynamics compressor plugin capable of saturation that ranges from subtle to overdriven. The DSP algorithm was initially implemented by Ryan Baker for the AES MATLAB VST Hackathon in 2023, where it won first place. The algorithm was then ported to C++ using the JUCE framework to be made into a fully-fledged VST/AU plugin with additional saturation parameters and visualisers


The original MATLAB interface for the compressor:
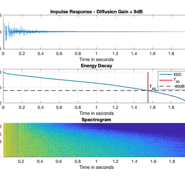
Chorus Verb
Similar to V-Kn Comp, Chorus Verb was designed for the AES MATLAB Hackathon, where it won first place. This challenge, presented in July 2024, was to complete a reverb plugin. Several helper functions were provided, including comb, all-pass and high shelving filters, but the main challenge was to finish the main processing block according to the block diagrams provided. This differs from the V-Kn Comp challenge, which was more open-ended.
Once the main processing was completed, two new features were added, which helped to elevate the submission above the others. The first feature was a chorus effect, and the second was a Haas effect, labeled Wideness in the GUI. Additional functionality was added to increase the signal of the reflections or diffusions, which added further control to the decay characteristics.
The final challenge was to measure the performance of the reverb plugin, included some preset designs. The GUI screenshot to the right is an example of a large hall style reverb.




SmartPick


SmartPick is a project aimed to increase musical expression for guitarists, built on the Teensy 4.0 development platform. Force sensor data was converted into MIDI control messages which communicate to a custom effects plugin. The effects plugin utilized a modulated biquad lowpass filter and a amplitude modulator that would react based on the force sensor's readings.
This project was developed by Ryan for his undergraduate capstone project, as well as a full design document detailing each step in the process.


ComboSynth
ComboSynth is a digital hardware synthesizer developed using the DaisySP codebase on the Daisy Field development board. This synth has various effects and features, such as polyphony, an oscilloscope, frequency modulation, a lowpass filter with an LFO, a tremolo, and reverb.
The focus of this project was to fit all the desirable features of a synthesizer within the constraints of the development board. A 128x64 pixel screen provides visual readouts to the user, showing a cursor and certain effects based on the selected menu.
This synth was developed by Ryan Baker in the summer of 2023 to learn more about the embedded software workflow, and to lay the foundation needed to create other embedded synth projects.
ComboSynth can also accept MIDI input thanks to open-source Daisy community projects, found here: